Contoh Soal Titik Berat, Lengkap dengan Pembahasan dan Jawaban
JAKARTA, iNews.id - Contoh soal titik berat berikut perlu dipelajari. Terdapat pembahasan jawaban di masing-masing soal untuk memudahkan pemahaman.
Perlu diketahui bahwa titik berat atau pusat massa, merupakan konsep penting dalam fisika yang berkaitan dengan keseimbangan dan gerak suatu benda. Konsep ini kerap digunakan dalam berbagai bidang, seperti teknik, desain, dan bahkan olahraga.
Adapun deretan contoh soal titik berat dan jawabannya, yang dilansir iNews.id dari berbagai sumber, Kamis (15/2/2024), adalah sebagai berikut.
Contoh Soal Titik Berat
1. Tentukan letak koordinat titik berat dari bidang yang diarsir pada gambar berikut ini!
Pembahasan:
Bidang dibagi atas 2 bagian, yaitu persegi panjang yang dianggap utuh tidak berlubang dan lubang berbentuk segitiga (bidang yang tidak diarsir).
Bidang I (Persegi panjang)
A1 = 8 x 6 = 48
x1 = 3
y1 = 4
Bidang II (segitiga)
A2 = (8 x 3) = 12
x2 = 6 ( tinggi segitiga) = 6 (3/3) = 5
y2 = 4
Sehingga:
Dengan demikian koordinat titik berat bidang yang diarsir adalah (7/3 , 4)
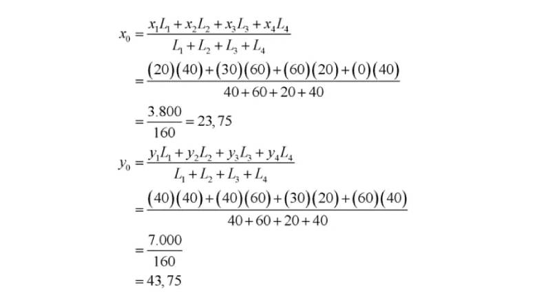
2. Empat buah kawat disusun seperti gambar berikut.
Tentukan letak titik berat kawat tersebut!
Pembahasan:
Oleh karena ada 4 kawat, maka kamu harus menentukan L1, L2, L3, dan L4. Ingat, benda berbentuk kawat termasuk benda satu dimensi, sehingga titik beratnya terwakili oleh panjang benda. Dengan demikian, diperoleh:
L1 = 40 cm
L2 = 60 cm
L3 = 20 cm
L4 = 40 cm
Selanjutnya, tentukan koordinat x1 x4 dan y1 y4.
x1 = 20 y1 = 40
x2 = 30 y2 = 40
x3 = 60 y3 = 30
x4 = 0 y4 = 60
Lalu, tentukan koordinat titik beratnya dengan rumus berikut.
(Gambar 5)
Jadi, koordinat titik beratnya adalah (23,75; 43,75).
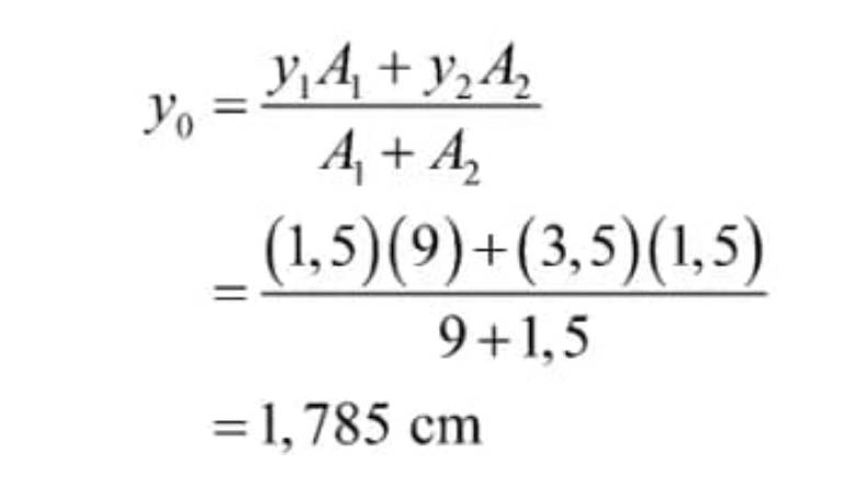
3. Diketahui bangun seperti berikut.
Tentukan letak titik berat bangun di atas terhadap alasnya!
Pembahasan:
Bangun di atas merupakan bangun gabungan antara persegi dan segitiga sama sisi. Mula-mula, tentukan dahulu luas persegi dan luas segitiganya.
A1 (persegi) = 3 x 3 = 9 cm2
A2 (segitiga) = 1/2 x 3 x 1 = 1.5 cm2
Lalu, tentukan y1 dan y2 bangun di atas.
y1 = 1,5 cm y2 = 0,5 + 3 = 3,5 cm
Dengan demikian :
Jadi, titik berat bangun terhadap alasnya adalah 1,785 cm.
Itulah beberapa contoh soal titik berat. Selamat belajar.










